Ký hiệu Psi là gì? Có phải là đơn vị tính của áp xuất lốp xe ô tô?
Các thiết bị đo áp suất được sử dụng rất phổ biến hiện nay như: đồng hồ đo áp suất; cảm biến áp suất…. Đo áp xuất lốp xe ô tô chúng ta thường thấy ký hiệu PSI, vậy PSI là gì? Chúng ta cùng tham khảo bài viết sau đây của Lốp Dán Asean để tìm hiểu kỹ hơn nhé.
Psi là gì ?
Từ những ứng dụng đơn giản như đo áp suất đường ống nước đến các ứng dụng phức tạp trong nhà máy, công trình… Chúng ta thường hay thấy trên đồng hồ cơ đo áp suất có các chữ như: psi, bar, kg/cm2, mpa, kpa… Trong đó psi là thường thấy nhất. Vậy psi là gì ? Các chữ đó có ý nghĩa như thế nào ? Trong bài viết này tôi sẽ giới thiệu đến các bạn những thông tin để trả lời những câu hỏi đó.
Theo wikipedia thì psi là chữ viết tắt của pound per square inch hay một cách chính xác hơn là pound-force per square inch. Dịch sang tiếng việt thì psi có nghĩa là trọng lượng (đơn vị: pound) trên đơn vị diện tích (đơn vị: inch). 1 pound = 0.45359237 kilograms và 1 inch = 2.54 centimeters.
Vậy tóm lại psi là gì ? Có thể nói một cách ngắn gọn thì psi chính là đơn vị đo áp suất theo tiêu chuẩn của Bắc Mỹ. Tiêu biểu là nước Mỹ sẽ sử dụng psi trên các thiết bị đo áp suất của các hãng nước này sản xuất. Ngoài ra, trên thế giới còn có chuẩn đơn vị đo áp suất của châu Âu, Nhật Bản… Trong bài viết này tôi sẽ hướng dẫn các bạn cách chuyển đổi giữa các đơn vị áp suất với nhau.
Cách chuyển đổi giữa psi và các đơn vị áp suất khác
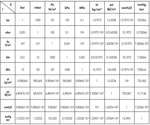
Như đã trình bày ở trên, psi thực chất chỉ là một đơn vị đo áp suất theo tiêu chuẩn của Bắc Mỹ. Trên thực tế, còn nhiều đơn vị đo áp suất khác phổ biến như: Pa, bar, Kpa, Mpa, mmHg, mmH2O, kg/cm2…. Do đó, câu hỏi psi là gì ? đã được giải quyết.
Có rất nhiều đơn vị đo áp suất vậy làm sao để chuẩn hóa về một đơn vị chung mà cả thế giới phải sử dụng ? Điều này rất khó thực hiện được bởi vì các cường quốc công nghiệp lớn trên thế giới như Mỹ, Nhật Bản, Đức, Pháp… đều sử dụng một đơn vị áp suất riêng và các thiết bị sản xuất tại các nước này sẽ có đơn vị khác nhau. Do đó, chỉ có thể tìm hiểu mối quan hệ giữa các đơn vị với nhau và cách chuyển đổi qua lại giữa chúng.
Cách chuyển đổi cơ bản giữa đơn vị psi, pa, bar, kpa…… Psi là gì ?
Đối với dân kỹ thuật nói chung, việc tiếp xúc với các thiết bị đo áp suất là thường xuyên. Do đó, yêu cầu chúng ta phải hiểu được ý nghĩa của các đơn vị này và mối liên hệ giữa chúng. Cách đổi psi sang một số đơn vị chuẩn khác như sau:
- 1 psi = 68.95 mbar
- 1 psi = 0.0689 bar
- 1 psi = 6895 Pa
- 1 psi = 6.895 Kpa
- 1 psi = 0.006895 Mpa
- 1 psi = 703.8 mmH2O
- 1 psi = 51.715 mmHg
- 1 psi = 0.0704 kg/cm2
Với bảng trên, chúng ta hoàn toàn có thể chuyển đổi qua lại giữa đơn vị psi và các đơn vị đo khác.
Trên thực tế, chúng ta còn gặp rất nhiều câu hỏi như: bar là gì? psi là gì? cảm biến áp suất là gì? làm thế nào để chuyển đổi giữa các đơn vị đo áp suất? Trong các bài viết sau, tôi sẽ lần lượt đi trả lời những câu hỏi trên.
Kết luận, psi la gi? Đối với lĩnh vực kỹ thuật thì psi chỉ là đơn vị đo áp suất. Còn đối với các lĩnh vực khác thì có thể psi còn có nhiều ý nghĩa khác nhau. Hy vọng với những chia sẻ trên, sẽ giúp các bạn kỹ thuật hiểu hơn về áp suất; đơn vị đo áp suất; cách chuyển đổi giữa các đơn vị đo áp suất.
Đại lý cung cấp lốp xe tải uy tín - chất lượng - giá rẻ
Lốp Dán ASEAN chuyên cung cấp lốp dán bố thép, lốp dán bố vải, lốp không săm, lốp mới (lốp nhập khẩu từ các thương hiệu nổi tiếng của các nước như Mỹ, Thái Lan...lốp Trung Quốc, lốp Việt Nam...), Lazang chuyên chạy cảng, chạy công trình, chạy hầm mỏ, chạy đường trường, chạy san lấp... cho các dòng xe tải, xe ben, container... giá rẻ trên toàn quốc.
Ngoài ra, chúng tôi còn nhận thu mua - thanh lý lốp xe ben, xe tải, container, rơ-mooc... hư - cũ với giá tốt nhất trên thị trường, có xe thu mua tận nơi, nhận giao lưu đổi vỏ (lốp) cũ lấy vỏ (lốp) dán với mức giá cực kỳ hấp dẫn cho khách hàng.
Hiện tại Lốp Dán Asean đang gia công và phân phối các sản phẩm lốp dán (vỏ dán) đa dạng như:
- Lốp (vỏ) dán 12R22.5 cho xe tải, xe ben, container, rơ mooc, xe công trình, xe bồn, xe san lấp, xe chạy hầm...
- Lốp (vỏ) dán 11R22.5 cho xe tải, xe ben, container, rơ mooc, xe công trình, xe bồn, xe san lấp, xe chạy hầm...
- Lốp (vỏ) dán 12.00R20 cho xe tải, xe ben, container, rơ mooc, xe công trình, xe bồn, xe san lấp, xe chạy hầm...
- Lốp (vỏ) dán 11.00R20 cho xe tải, xe ben, container, rơ mooc, xe công trình, xe bồn, xe san lấp, xe chạy hầm...
- Lốp (vỏ) dán 10.00R20 cho xe tải, xe ben, container, rơ mooc, xe công trình, xe bồn, xe san lấp, xe chạy hầm...
- Lốp (vỏ) dán 9.00R20 cho xe tải, xe ben, container, rơ mooc, xe công trình, xe bồn, xe san lấp, xe chạy hầm...
- Lốp (vỏ) dán 12.00-20 cho xe tải, xe ben, container, rơ mooc, xe công trình, xe bồn, xe san lấp, xe chạy hầm...
- Lốp (vỏ) dán 11.00-20 cho xe tải, xe ben, container, rơ mooc, xe công trình, xe bồn, xe san lấp, xe chạy hầm...
- Lốp (vỏ) dán 10.00-20 cho xe tải, xe ben, container, rơ mooc, xe công trình, xe bồn, xe san lấp, xe chạy hầm...
- Lốp (vỏ) dán 9.00-20 cho xe tải, xe ben, container, rơ mooc, xe công trình, xe bồn, xe san lấp, xe chạy hầm...
.....................
Chuyên cung cấp lốp dán, vỏ dán... cho xe tải, xe ben, container, rơ mooc, xe công trình, xe bồn, xe san lấp, xe chạy hầm...giá rẻ, chất lượng, uy tín tại An Giang, Bà Rịa-Vũng Tàu, Bắc Giang, Bắc Kạn, Bạc Liêu, Bắc Ninh, Bến Tre, Bình Định, Bình Dương, Bình Phước, Bình Thuận, Cà Mau, Cần Thơ, Cao Bằng, Đà Nẵng, Đắk Lắk, Đắk Nông, Điện Biên, Đồng Nai, Đồng Tháp, Gia Lai, Hà Giang, Hà Nam, Hà Nội, Hà Tĩnh, Hải Dương, Hải Phòng, Hậu Giang, TP. Hồ Chí Minh, Hòa Bình, Hưng Yên, Khánh Hòa, Kiên Giang, Kon Tum, Lai Châu, Lâm Đồng, Lạng Sơn, Lào Cai, Long An, Nam Định, Nghệ An, Ninh Bình, Ninh Thuận, Phú Thọ, Phú Yên, Quảng Bình, Quảng Nam, Quảng Ngãi, Quảng Ninh, Quảng Trị, Sóc Trăng, Sơn La, Tây Ninh, Thái Bình, Thái Nguyên, Thanh Hóa, Thừa Thiên - Huế, Tiền Giang, Trà Vinh, Tuyên Quang, Vĩnh Long, Vĩnh Phúc, Yên Bái.
Nếu bạn cần tư vấn - báo giá - thay lốp (thay mâm) - vá lốp xe ô tô tải, xe ben, container, rơ-mooc... khu vực Bình Dương cũng như trên toàn quốc vui lòng liên hệ với chúng tôi để được tư vấn và nhận giá ưu đãi nhất ngay hôm nay:
- Hotline + Zalo: 0901.029.650 Ms My
0903.903.860 Mr Khang
- Địa Chỉ:
Cơ sở 1: Cửa Hàng - 462 Cao Tốc Mỹ Phước Tân Vạn - Dĩ An - Bình Dương (Cách QL 1K 100m).
Cơ sở 2: Kho/Xưởng - Mỏ Đá Hoá An Biên Hoà (Cạnh KCN Tân Đông Hiệp B Dĩ An).
Cơ sở 3: 305 đường ống nước thô 2400, KP Nội Hóa 2, P.Bình An, TX.Dĩ An, Bình Dương.
Tin liên quan:
- Địa chỉ sửa gầm máy ô tô
- Làm điện ô tô uy tín
- Gara chuyên làm máy ô tô
- Sửa chữa - đại tu hộp số ô tô
- Điện lạnh ô tô
- Thông tin về lốp dán - vỏ dán xe tải, xe ben, container...
- Dịch vụ vá vỏ - thay vỏ lưu động 24/7 tại Bình Dương và khu vực lân cận
- Đại lý phân phối - lắp ráp lốp dán - lốp mới - lốp phần trăm giá rẻ toàn quốc
- Đại lý thu mua lốp xe cũ phế liệu - vỏ xe cũ phế liệu tận nơi
- Đại lý lốp xe tải chính hãng giá rẻ
- Đại lý lốp xe du lịch chính hãng
- Đại lý cung cấp - gia công lốp dán uy tín tại Bình Dương
- Garage uy tín tại TPHCM
Lốp Dán ASEAN chuyên gia công và cung cấp Lốp Dán Chạy Đường Trường, Lốp Dán Công Trình, Lốp Dán Chạy Hầm Mỏ, Lốp Dán Bố Thép, Lốp Dán Bố Vải, Lốp Mới, Lazang xe tải, xe ben, container giá rẻ tại Bình Dương. Ngoài ra chúng tôi còn hỗ trợ giao hàng tận nơi cho khách hãng ở những tỉnh lân cận như Bình Phước, Đồng Nai, thành phố Hồ Chí Minh, Tây Ninh, Long An, Tiền Giang, Vũng Tàu, Cần Thơ, Đà Lạt...cũng như trên toàn quốc. Ngoài ra, chúng tôi còn nhận thu mua - thanh lý lốp xe ben, xe tải, comtainer, rơ-mooc... hư - cũ với giá tốt nhất trên thị trường, có xe thu mua tận nơi.




Xem thêm